12/03/2026 otrzymaliśmy odpowiedzi od pani Burmistrz Agnieszki Korajczyk-Szyperskiej w sprawie przyznanych środków
w otwartym konkursie ofert na wsparcie realizacji zadań publicznych w 2025 roku na terenie Gminy Miasta Gostynina. W ramach rozwoju sportu. Na realizację zadań wybranych w ramach konkursu zostały przeznaczone środki w wysokości 360.000,00 zł.
W odpowiedzi z Urzędu Miasta Gostynina znalazły się załączniki w postaci złożonego Wniosku przez Klub Mazur Gostynin oraz rozliczenie w postaci Sprawozdania Końcowego z dnia 30/12/2025. Otrzymane dofinansowania opiewało na kwotę 134 020,oo zł.
W punkcie II mieszkańcy mogą zapoznać się z kwotami jakie i na co były wydatkowane. Należy zwrócić na wysokość wynagrodzenia zwłaszcza na Radnego Arkadiusza Szulczewskiego jako Trenera 2 grup dzieci i na zarobki z tego tytułu. W ostatnich oświadczeniach majątkowych radnego, Szulczewski zasiadającego w Zarządzie Mazura jako wice Prezes który zarobił 54 114 zł, nie uwzględniając jeszcze Oświadczenia z 2025 roku.
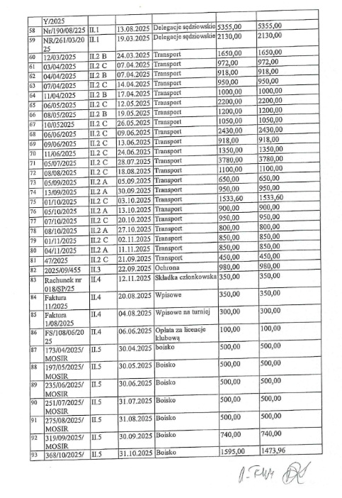
Sprawozdanie z wykonania wydatków :
Czytając to sprawozdanie wynika że Kwota otrzymana z Urzędu Miasta wystarczyła na 100% ,
Należy w takim razie zadać pytanie do Zarządu Mazura Gostynin :
Czemu rodzice dokonywali dodatkowych opłat miesięcznych w kwocie 100 zł ?
Skan nadesłany przez rodzica.
Dalsza część Sprawozdania :
Wniosek złożony przez Zarząd Mazura Gostynin i opis na co przeznaczone zostaną poszczególne kwoty.
Zamieszczam też dla państwa informacji Statut Mazura Gostynin:


W rozmowach z rodzicami okazuje się że niezadowolenie jest bardzo duże i aż 10 dzieci opuściło szeregi Mazura Gostynin w skutek tak wysokich opłat i konfliktów wewnętrznych , rezygnacja 3 członków Zarządu, fałszywe oskarżenia członka Komisji Rewizyjnej, Konflikt z członkami klubu.
W rozmowie z jednym z członków do niedawna wieloletnim Sponsorem Mazura z jego ust usłyszeliśmy że :
„Obecny Zarząd Zrobił Sobie Prywatny Folwark „
Pan Kazimierz opowiada portalowi przebieg ostatniego Walnego zebrania Sprawozdawczego w piątek,19 grudnia 2025 r. w świetlicy Stadionu MOSiR Gostynin na którym brał udział .
Podczas zebrania zabrakło Prezesa komisji Rewizyjnej i 2 innych członków co skutkowało Nie udzieleniem Absolutorium za rok 2025.
Pan Kazimierz informuje nasz portal, że odmówiono mu prawa w głosowaniach. Jak ustaliliśmy powodem nieobecność Przewodniczącego Komisji Rewizyjnej było złożenie rezygnacji.
Tak jak i dwóch innych członków. Prezesi przeprowadzili walne dalej i na koniec wymyślili, że dokonają nowych wyborów do niekompletnego składu Komisji Rewizyjnej. Takie posunięcie spowodowało nieprawidłowości i niezgodności z ustawą o Stowarzyszeniach i przeprowadzaniu wyborów! W rozmowie z Mecenasem z Urzędu Starostwa Powiatowego usłyszeliśmy, że ostatnie Walne zebranie powinno być powtórzone! Starosta Gostyniński wystosował pismo do Zarządu o wyjaśnienia z ich strony!
O problemach w Mazurze prowadzone są rozmowy korespondencyjne z panią Burmistrz ,Starostą ,Radnymi, Księgową Mazura.
O dalszych krokach Starostwa i Zarządu Mazura Gostynin będziemy mieszkańców informować .
Dodaj komentarz
Musisz się zalogować, aby móc dodać komentarz.